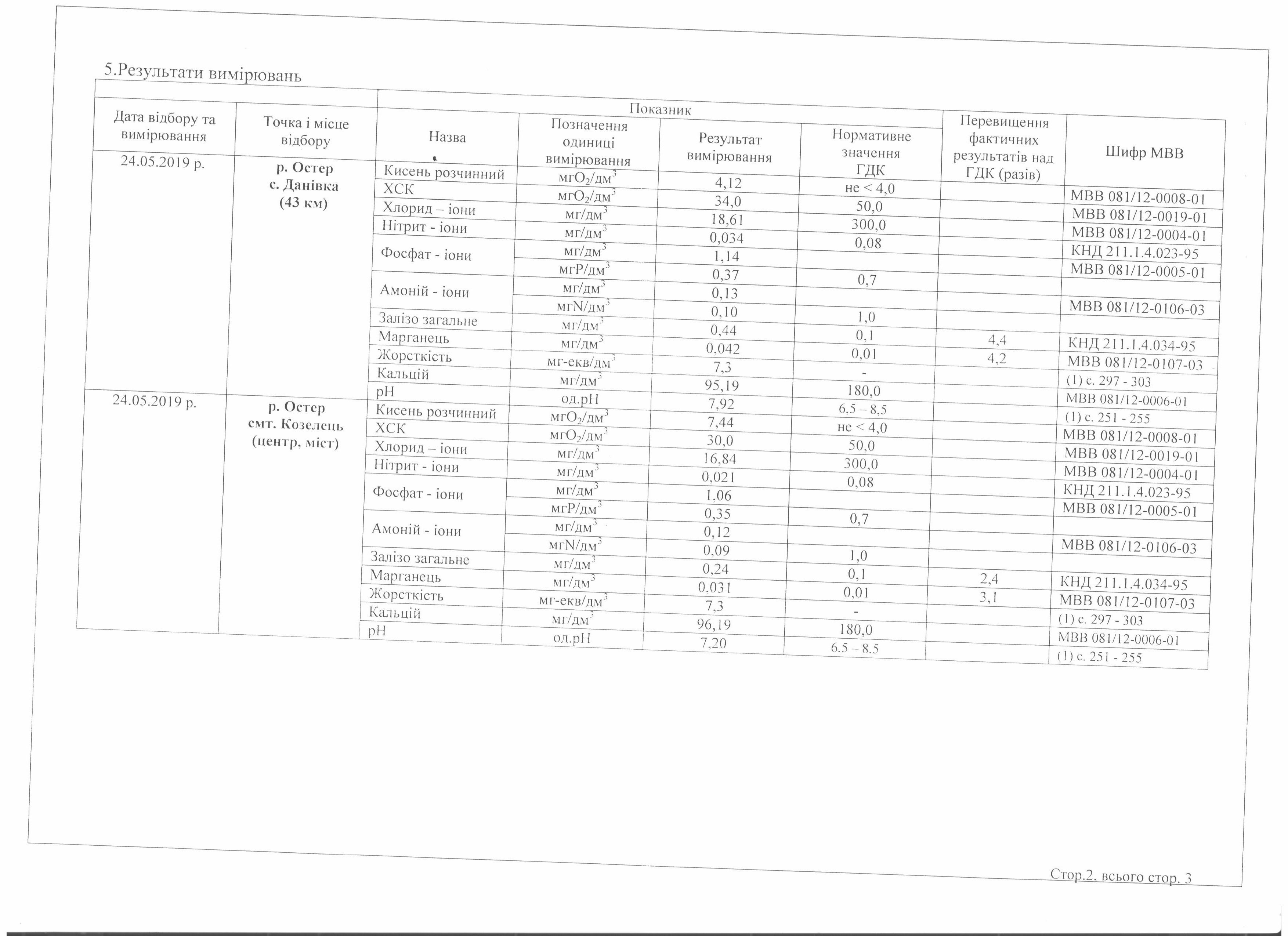
На запит Козелецької селищної ради до Деснянського басейнового управління водних ресурсів надійшла відповідь з результатами проведених аналізів води в річці Остер.
Згідно із результатами, зафіксовано перевищення допустимих норм по марганцю (в 1,6-4,2 рази) та залізу (в 1,5-4,4 рази). Про те, як зазначається у листі, підвищений вміст заліза та марганцю не пов'язаний із техногенним забрудненням водойми, а зумовлений природною геохімічною обстановкою. Концентрації інших гідрохімічних показників не перевищують гранично допустимих норм.




Відділ зв'язків із громадськістю,
ЗМІ та громадськими об'єднаннями